Skip to content

Quality description: Unit value and volume indices of international trade in goods, (2020=100)

Finnish Customs, Statistics

Description

Unit value and volume indices of international trade in goods are part of Finnish official statistics (FOS). The indices describe the price and quantity development of international trade in goods and changes therein.

1. Relevance of statistical information

The statistics contain both monthly data and the moving 12-month averages of the development of export and import prices, terms of trade, and volumes of exports and imports. Indices are published separately for internal and external trade. Indices are calculated and published using the CPA 2015 product classification (Classification of Products by Activity, CPA). Base year 2020=100.

Unit value indices of international trade are extracted from data that contains the company-specific international trade data in goods classified according to the CN8 combined nomenclature of the EU. To calculate monthly unit value indices, the statistical value of the index headings per quantity unit as indicated by the CN nomenclature is used as the price quotation at the level of enterprises. Index headings at the CPA4 level (CPA 2015) are classified so that headings that are problematic in terms of index calculations are classified under the category “others”. Such headings have irregular values and include items such as ships, aircraft and some headings classified under services. This category is different from the unspecified category used elsewhere in international trade in goods statistics. Headings are correspondingly classified for volume indices.

Price and quality indices form an important tool for decision-makers, planners and researchers of both the public and private sector working nationally as well as in the EU and in many international organisations.

2. Accuracy and reliability of data

The information on Finland’s trade with other EU countries is collected mainly from statistical declarations submitted by companies, using the Intrastat system of internal trade. Information on the goods trade between Finland and third countries is obtained from customs declarations, which must be provided for all import and export consignments. The data on both internal and external trade are combined when compiling the Finnish international trade statistics.

Monthly index data is examined after the completion of the monthly international trade data. In addition, possible incorrect price data or outliers are excluded from the calculation of unit value indices with the limit of [0.5;2]. A larger price relationship variation is allowed for commodities with wider price fluctuations. Index calculations are done twice a month. Preliminary indices are calculated and published at the same time as preliminary statistics of international trade in goods statistics. In connection with publication of detailed monthly statistics the indices are recalculated and updated. The figures are not updated later. The value of this final data used in calculation of unit value indices covers 80 to 94 per cent of the corresponding monthly value of the international trade statistics. Monthly data of the entire international trade are used in the calculation of volume indices.

The calculation of unit value indices of international trade is based on Laspeyres’ index theory, and the calculation of volume indices is based on Paasche’s theory.

The indices are calculated as chain indices starting from the base year 2020, always using the year preceding the calculating year as the year of comparison.

The value weights of the calculating month are used as the weights of the unit value indices at the micro level (CPA4).

Formula, micro level. Further information: Statistics service tel. +35829552335, e-mail statistics@tulli.fi

In this formula, pit is the company’s heading-specific price of the calculating month, and qit is the corresponding volume of the calculating month. pi0 is the average of the monthly average prices (company*cn) for the year of comparison which is the preceding year.

Unit value indices of the macro level (CPA3-CPA1) are calculated as a weighted mean based on lower-level micro indices. The previous year’s value weights are used:

Formula, macro level. Further information: Statistics service tel. +35829552335, e-mail statistics@tulli.fi

For volume indeces, value indexes are calculated first.

Formula, value indexes. Further information: Statistics service tel. +35829552335, e-mail statistics@tulli.fi

Volume indices are derived from value indices by dividing them with the unit value index:

Formula, volume indexes. Further information: Statistics service tel. +35829552335, e-mail statistics@tulli.fi

In chaining, monthly changes in the monthly unit value indices and value indices are calculated, and then chained by multiplying the change of calculating month’s indices by the corresponding variations of the previous month. For chaining at the turn of the year, December is re-calculated with the weights of the new calculating year, and the change for January is derived by comparing the January indices with the re-calculated results for December. The resulting change is multiplied by the chained change of December.

Formula, chaining. Further information: Statistics service tel. +35829552335, e-mail statistics@tulli.fi

The points of the terms of trade are calculated by using the following formula: (unit value index, exports / unit value index, imports) x 100.

The moving average is calculated backwards from the calculating month as a 12-month arithmetical average from chained unit value indices I(Li). The moving average of volume indices is calculated correspondingly from volume indices I(Pi).

New companies are included in the calculations at the CPA4 level. If the “company*cn” heading is included in the international trade statistics for two consecutive months, an artificial base year price is calculated for it: The current price of the first included month is divided by the corresponding CPA4 index:

Formula, artificial base year price. Further information: Statistics service tel. +35829552335, e-mail statistics@tulli.fi

When the CPA4 index is missing, it is replaced with the corresponding CPA3 index.

Imputation is done at the CPA3 level in the calculation of unit value indices. Missing indices are replaced with the corresponding index of the previous month, to which the general index changes of the current and previous month are added. In the calculation of value indices, the 0 value is replaced with 0.1 so that the heading stays with the chaining.

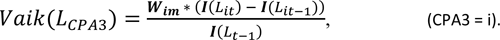
In addition, the effect of the lower index heading on the general index change is calculated and published for unit value and volume indices. Average weights weighted with the number of months have been used in the effect calculation of chain indices where value weights vary each year. The effects are calculated with the following formula:

Formula, effect. Further information: Statistics service tel. +35829552335, e-mail statistics@tulli.fi

Wim is the average of the weights of the calculating year and of the base year of the previous year weighed with months. I(Lit) is the CPA level index of the calculating month, I(Lit-1) is the CPA level index of the corresponding month of the previous year and I(Lt-1) is the general index of the previous year.

3. Timeliness and promptness of data

Preliminary monthly unit value and volume indices of international trade are published at the latest 38 days after the end of the statistical reference month. The preliminary indices are updated and published at a more detailed level not later than 60 days after the end of the statistical reference month The exact schedule of publication is defined for about a year onwards during autum the previous year. The publishing schedule is available on the Finnish Customs website.

Release calendar

4. Coherence and comparability of data

The unit value and volume indices of international trade, base year 2020=100, are available with the current classifications since 2020. Of the previous CPA2008 headings and base year 2010=100, headings are chained backwards up to the year 2002.

Finnish Customs has produced international trade indices ever since 1919. Older international trade indices are available as archived paper copies.

5. Accessibility and clarity of data

The essential information relating to unit value and volume indices of international trade in goods is published on the website of Finnish Customs at times of publication announced in advance. At the same time, indices are published in the Uljas database. Preliminary indices are published at CPA1 –level in preliminary data folder and detailed indices at CPA1-CPA3 levels in indices folder.

More information on international trade statistics is available on the Finnish Customs website, under “statistics”. On these pages, you find the principles of the collection of international trade statistics as well as all the statistics and surveys on Finnish international trade in goods published by Finnish Customs.

Further information

Statistics Service: tel. +358 295 52335
E-mail: statistics[at]tulli.fi
Website: tulli.fi
Statistical database Uljas: uljas.tulli.fi